Unique Binary Search Trees - Dynamic Programming
2021. 11. 8. 15:55ㆍ개발 잡부/알고리즘
728x90
Unique Binary Search Trees - LeetCode
Level up your coding skills and quickly land a job. This is the best place to expand your knowledge and get prepared for your next interview.
leetcode.com
문제설명
1~n까지의 수가 있는 BST(Binary Search Tree)는 몇 종류가 있는가?

문제 해결 방안
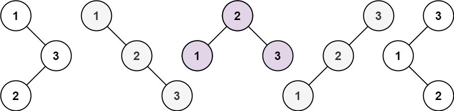
직접 그림으로 그려서 규칙성을 찾아보던 중,
n=3일 때 root가 1이나 3이면 한쪽에 n=2일 때의 경우의 수가 포함이 된다는 것을 알았다.
그리고 root가 2인 경우에도 양쪽으로 1개씩 있는 n=1과 같은 상황임을 알았다.
그래서 다음과 같은 규칙성을 찾아냈다.
U(n) = 1부터 n까지 있는 BST의 유니크한 경우의 수.
0 <= k <= n - 1
일 때,
U(n) = U(0) * U(n - 1) + U(1) * U(n - 2) + ... + U(k) * U(n - k - 1) + ... + U(n-1) * U(0)
임을 알 수 있다.
소스 코드 (TypeScript)
function numTrees(n: number): number {
// U(k)
let uniques = [1, 1];
for (let i = 2; i <= n; i++) {
let sum = 0;
for (let j = 0; j < i; j++){
sum += uniques[j] * uniques[i - j - 1];
}
uniques.push(sum);
}
return uniques[n];
};
U(n)을 구하기 위해서 U(n-1)이 필요하므로, uniques에 U(k)를 담아가며 구하는 방식이다.
'개발 잡부 > 알고리즘' 카테고리의 다른 글
| Algorithm Study Plan 1 후기 (0) | 2021.11.08 |
|---|---|
| 3Sum - Two Pointer Algorithm (0) | 2021.11.02 |
| Populating Next Right Pointers in Each Node - BFS 알고리즘 (0) | 2021.11.02 |
| Unique Paths III - DFS 알고리즘 (0) | 2021.11.02 |
| Surrounded Regions - BFS 알고리즘 (0) | 2021.11.02 |